• 6.6. 通过时间反向传播
    • 6.6.1. 定义模型
    • 6.6.2. 模型计算图
    • 6.6.3. 方法
    • 6.6.4. 小结
    • 6.6.5. 练习

    6.6. 通过时间反向传播

    如果读者做了上一节的练习,就会发现,如果不裁剪梯度,模型将无法正常训练。为了深刻理解这一现象,本节将介绍循环神经网络中梯度的计算和存储方法,即通过时间反向传播(back-propagationthrough time)。

    我们在“正向传播、反向传播和计算图”一节中介绍了神经网络中梯度计算与存储的一般思路,并强调正向传播和反向传播相互依赖。正向传播在循环神经网络中比较直观,而通过时间反向传播其实是反向传播在循环神经网络中的具体应用。我们需要将循环神经网络按时间步展开,从而得到模型变量和参数之间的依赖关系,并依据链式法则应用反向传播计算并存储梯度。

    6.6.1. 定义模型

    简单起见,我们考虑一个无偏差项的循环神经网络,且激活函数为恒等映射(

    6.6. 通过时间反向传播 - 图1 )。设时间步 6.6. 通过时间反向传播 - 图2 的输入为单样本 6.6. 通过时间反向传播 - 图3 ,标签为 6.6. 通过时间反向传播 - 图4 ,那么隐藏状态 6.6. 通过时间反向传播 - 图5 的计算表达式为

    6.6. 通过时间反向传播 - 图6

    其中

    6.6. 通过时间反向传播 - 图76.6. 通过时间反向传播 - 图8 是隐藏层权重参数。设输出层权重参数 6.6. 通过时间反向传播 - 图9 ,时间步 6.6. 通过时间反向传播 - 图10 的输出层变量 6.6. 通过时间反向传播 - 图11 计算为

    6.6. 通过时间反向传播 - 图12

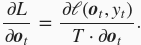
    设时间步

    6.6. 通过时间反向传播 - 图13 的损失为 6.6. 通过时间反向传播 - 图14 。时间步数为 6.6. 通过时间反向传播 - 图15 的损失函数 6.6. 通过时间反向传播 - 图16 定义为

    6.6. 通过时间反向传播 - 图17

    我们将

    6.6. 通过时间反向传播 - 图18 称为有关给定时间步的数据样本的目标函数,并在本节后续讨论中简称为目标函数。

    6.6.2. 模型计算图

    为了可视化循环神经网络中模型变量和参数在计算中的依赖关系,我们可以绘制模型计算图,如图6.3所示。例如,时间步3的隐藏状态

    6.6. 通过时间反向传播 - 图19 的计算依赖模型参数 6.6. 通过时间反向传播 - 图206.6. 通过时间反向传播 - 图21 、上一时间步隐藏状态 6.6. 通过时间反向传播 - 图22 以及当前时间步输入 6.6. 通过时间反向传播 - 图23

    时间步数为3的循环神经网络模型计算中的依赖关系。方框代表变量(无阴影)或参数(有阴影),圆圈代表运算符 图 6.3 时间步数为3的循环神经网络模型计算中的依赖关系。方框代表变量(无阴影)或参数(有阴影),圆圈代表运算符

    6.6.3. 方法

    刚刚提到,图6.3中的模型的参数是

    6.6. 通过时间反向传播 - 图256.6. 通过时间反向传播 - 图266.6. 通过时间反向传播 - 图27 。与“正向传播、反向传播和计算图”一节中的类似,训练模型通常需要模型参数的梯度 6.6. 通过时间反向传播 - 图286.6. 通过时间反向传播 - 图296.6. 通过时间反向传播 - 图30 。根据图6.3中的依赖关系,我们可以按照其中箭头所指的反方向依次计算并存储梯度。为了表述方便,我们依然采用“正向传播、反向传播和计算图”一节中表达链式法则的运算符prod。

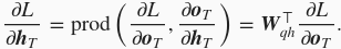
    首先,目标函数有关各时间步输出层变量的梯度

    6.6. 通过时间反向传播 - 图31 很容易计算:

    6.6. 通过时间反向传播 - 图32

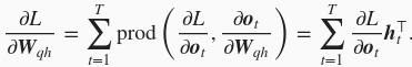
    下面,我们可以计算目标函数有关模型参数

    6.6. 通过时间反向传播 - 图33 的梯度 6.6. 通过时间反向传播 - 图34 。根据图6.3, 6.6. 通过时间反向传播 - 图35 通过 6.6. 通过时间反向传播 - 图36 依赖 6.6. 通过时间反向传播 - 图37 。依据链式法则,

    6.6. 通过时间反向传播 - 图38

    其次,我们注意到隐藏状态之间也存在依赖关系。在图6.3中,

    6.6. 通过时间反向传播 - 图39 只通过 6.6. 通过时间反向传播 - 图40 依赖最终时间步 6.6. 通过时间反向传播 - 图41 的隐藏状态 6.6. 通过时间反向传播 - 图42 。因此,我们先计算目标函数有关最终时间步隐藏状态的梯度 6.6. 通过时间反向传播 - 图43 。依据链式法则,我们得到

    6.6. 通过时间反向传播 - 图44

    接下来对于时间步

    6.6. 通过时间反向传播 - 图45 ,在图6.3中, 6.6. 通过时间反向传播 - 图46 通过 6.6. 通过时间反向传播 - 图476.6. 通过时间反向传播 - 图48 依赖 6.6. 通过时间反向传播 - 图49 。依据链式法则,目标函数有关时间步 6.6. 通过时间反向传播 - 图50 的隐藏状态的梯度 6.6. 通过时间反向传播 - 图51 需要按照时间步从大到小依次计算:

    6.6. 通过时间反向传播 - 图52

    将上面的递归公式展开,对任意时间步

    6.6. 通过时间反向传播 - 图53 ,我们可以得到目标函数有关隐藏状态梯度的通项公式

    6.6. 通过时间反向传播 - 图54

    由上式中的指数项可见,当时间步数

    6.6. 通过时间反向传播 - 图55 较大或者时间步 6.6. 通过时间反向传播 - 图56 较小时,目标函数有关隐藏状态的梯度较容易出现衰减和爆炸。这也会影响其他包含 6.6. 通过时间反向传播 - 图57 项的梯度,例如隐藏层中模型参数的梯度 6.6. 通过时间反向传播 - 图586.6. 通过时间反向传播 - 图59 。在图6.3中, 6.6. 通过时间反向传播 - 图60 通过 6.6. 通过时间反向传播 - 图61 依赖这些模型参数。依据链式法则,我们有

    6.6. 通过时间反向传播 - 图62

    我们已在“正向传播、反向传播和计算图”一节里解释过,每次迭代中,我们在依次计算完以上各个梯度后,会将它们存储起来,从而避免重复计算。例如,由于隐藏状态梯度

    6.6. 通过时间反向传播 - 图63 被计算和存储,之后的模型参数梯度 6.6. 通过时间反向传播 - 图646.6. 通过时间反向传播 - 图65 的计算可以直接读取 6.6. 通过时间反向传播 - 图66 的值,而无须重复计算它们。此外,反向传播中的梯度计算可能会依赖变量的当前值。它们正是通过正向传播计算出来的。举例来说,参数梯度 6.6. 通过时间反向传播 - 图67 的计算需要依赖隐藏状态在时间步 6.6. 通过时间反向传播 - 图68 的当前值 6.6. 通过时间反向传播 - 图696.6. 通过时间反向传播 - 图70 是初始化得到的)。这些值是通过从输入层到输出层的正向传播计算并存储得到的。

    6.6.4. 小结

    • 通过时间反向传播是反向传播在循环神经网络中的具体应用。
    • 当时间步数较大或者时间步较小时,循环神经网络的梯度较容易出现衰减或爆炸。

    6.6.5. 练习

    • 除了梯度裁剪,你还能想到别的什么方法应对循环神经网络中的梯度爆炸?